戻る
血圧の塩感受性
アメリカ心臓協会からの科学的声明
Salt Sensitivity of Blood Pressure
A Scientific Statement from the American Heart Association
By Fernando Elijovich, Myron H. Weinberger, Cheryl A.M. Anderson,
Lawrence J. Appel, Michael Bursztyn, Nancy R. Cook, Richard A. Dart,
Christopher H. Newton-Cheh, Frank M. Sacks, Cheryl L. Laffer and
On behalf of the American Heart Association Professional and Public
Education Committee of the Council on Hypertension; Council on
Functional Genomics and Translational Biology; and Stroke Council
Hypertension 2016:68;e7-e46
(塩と血圧との関係では塩感受性が重要な問題で、塩感受性の体質でなければ塩摂取量を心配する必要はない。本論文は、塩感受性に関するアメリカ心臓協会血圧の見解を453件もの文献を閲覧して、最新のデータに基づいて述べた40ページもの論文である。主要な部分を抜粋翻訳した。)
序文
血圧の塩感受性(SSBP)の一番簡単な定義はヒトを含めて齧歯動物や他のほ乳動物に見られる生理学的な特徴であると述べており、塩感受性によって集団の一部の血圧は塩摂取量の変化と並行した変化を示す。動物では、塩感受性(SS)動物は塩負荷で血圧上昇を、減塩で血圧低下を維持すると言った生まれつきの特徴を持っているが、一方、塩抵抗性(SR)動物は持っていなかった。ヒトでは、特徴は通常、分類されており、したがって、集団でSSとSRとの区別はグループを定義するために塩摂取量で引き起こされる血圧変化の程度を任意に選ぶことによって行われてきた。塩処理の異常性による潜在的な因果関係にかかわらず、SS表現型は塩収支の変化(例えば、ナトリウム利尿障害または血漿量膨張)によって通常、特徴付けられないで、むしろ塩収支を維持するための高血圧応答によって特徴付けられる。
選別されない集団では、SSBPは普通連続的に分布している定量的な特徴である。これらの特性を持った他の特徴と同様に、最大と最小の多数の特徴を持った集団メンバーが集団分布に偏向がないかどうかという問題があるか、または全集団には質的に差がある。この論争例は、高血圧が個別に存在しているのか、あるいは血圧の正規分布の単なる極端な値かどうかを決定しようと試みたヒトの血圧値が単峰形か双峰形という古い解析である。近親交配という特徴で選ばれたことを示す日本の研究者達による自然発症高血圧ラットの開発は、高血圧が遺伝性であることを明らかにした。集団の血圧が正規分布を示すことは多分、高血圧遺伝子と非高血圧遺伝子と環境因子(例えば、食事)、生理学的特性(例えば、加齢)、臨床特性(例えば、腎機能)の相互作用による異質の集団における遺伝的変異体をランダムに混合した結果である。
類似したこととして、SSBPの遺伝的確定を示唆する間接的な手掛かりがあった。別の方法で測定した時、あるいは時間を隔てて反復測定した時、その特徴は再現された。すなわち、SSBP表現型と関連した特徴(例えば、塩欠乏後のナトリウム利尿、血圧、血漿レニン応答の程度)の一致は兄弟と双子の兄弟で、そしてSS表現型に関連した他の人口統計的、臨床的、生化学的と様々な特徴が示された。しかし、遺伝成分の決定的な証明がされたSSBPあるいは塩抵抗性血圧について均質な齧歯類の近親交配された血統が開発されてからのことであった。
ヒトのSSBPに関する研究はSSとSRの齧歯類系統に二分する研究よりもずっと複雑であった。その理由は、血圧測定の無作為な誤差のような方法論的問題と血圧変動についての多数の要因のような生理学的問題が塩負荷や塩欠乏に対する血圧応答の調査を混乱させるかもしれないからである。さらに、図1に示すように、ヒトのSSBPは連続的で通常分布した特徴をしている。したがって、SSまたはSRのようにそれぞれを定義することは血

図1 塩感受性の遺伝的疫学ネットワーク(GenSalt)研究で7日間の塩摂取量変化に対する血圧応答の連続分布。低塩摂取量(3 gNaCl/d)についての変化は低塩摂取量で5 – 7日の血圧値から基準の血圧値を差し引いた血圧として計算。高塩摂取量(18 gNaCl/d)についての変化は高塩摂取量後の血圧値から低塩摂取量後の血圧値を差し引いた血圧として計算。ほとんどの被験者は高塩摂取量で血圧上昇、低塩摂取量で血圧低下を示したが、一方、各介入で変化しない、または反対方向への変化を示す被験者がいた。塩感受性または塩抵抗性として被験者を分類するために使う血圧変化の程度について任意に区別する値を選ぶ必要性をこの結果は示している。Heらの許可を得て修正。
圧変化の程度について任意に選ばれた区切りの選択に依存している。ヒトのSSBPにはどのような遺伝的成分があろうとも環境要因が実質的に影響を及ぼす。図2は正常血圧者と高血圧者の両方でSSBPの発症を増加させる加齢の大きな影響を示している。重要で励みになる観察は、齧歯類の純粋なSS株で述べられている多数の表現型特徴はヒトで観察される特徴を再現していることである。それにはSSBPの表現型集団が十分に管理された研究で使われる現在の技術によってヒトにもたらされたことも含んでいる。さらに、ヒトのSSBPの決定における環境因子の確かな影響にもかかわらず、塩感受性の遺伝率の推定は黒人で74%、中国人で50%と高く、両方とも高血圧の遺伝率よりも高い。

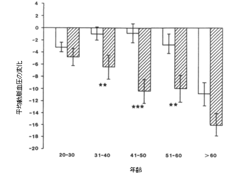
図2 10歳刻みの異なった年齢で正常血圧者(白抜き棒)と高血圧者(斜線棒)の減塩に応じた平均動脈血圧低下。いくつかの10歳刻みで正常血圧者よりも高血圧者大きな血圧応答についての統計的な有意性をアスタリスクは示す。左から右へ次第に長くなっている棒は、加齢の影響が正常血圧者と高血圧者の両方で血圧応答を増加させたことを示している。WeinbergerとFinebergから再版。
重要な問題はSSBPの臨床的意味である。塩感受性血圧は異常性を表していることの理解が進んできた。塩収支は血圧のナトリウム利尿系と抗ナトリウム利尿系に関係なく維持されると言う基本的な生理学的教義を否定することがその理由で、正常血圧者では塩感受性血圧は塩抵抗性ほど頻繁には生じないし、ヒトと実験高血圧のいくつかの形と関係している。結局、SSBPが異常な表現型であると言う決定的な証明は正常血圧者と高血圧者による2件の長期間研究によって提供された。血圧とは無関係であるが強力に、塩感受性は心血管死亡率と罹患率の危険因子であることをその研究は示した。SSBPの原因である機構は十分に理解されていないので、それについての特別な治療法はない。したがって、この文章の主な焦点である方法論的な問題を十分に考えて研究を続けることが重要である。
歴史的展望:SS動物モデルの開発
SSBPの生理学
齧歯類の遺伝学とSS表現型
ヒトの遺伝子とSSBP表現型の成分
環境因子と人口統計学的因子とSSBP
SSBPである兆候の意味
以上の各章は省略。
ヒトのSSBPの測定
使われている方法の歴史
SSBPの最初の記述は1978年に川崎らによって行われた。彼等は臨床研究センターで19人の固有の高血圧患者で全ての研究で4時間毎に血圧を測定し、各食事様式で6日目の平均動脈血圧を比較した:1週間ずつ低塩摂取量(0.5 g/d)に続いて通常塩摂取量(6.4 g/d)、その後、高塩摂取量(14.6 g/d)。基準値と比べて低塩食後には全ての被験者で血圧は有意に低下し、高塩食で1人を除き全ての被験者で上昇した。研究者達は、平均動脈血圧の上昇が10%以上をSSグループ、上昇が10%以下を非SSグループと19人を任意に分けた。研究の最初と最後との間(すなわち、通常塩摂取量と高塩摂取量との間)で被験者に血圧差はなかった。したがって、全ての被験者が血圧低下を示した時、血圧変化は低塩摂取量後にだけに観察されたが、SSグループと非SSグループの間の低下の程度の差を任意に定義した。24時間尿中塩排泄量を調査して、SS被験者は高塩食中の非SS被験者よりも多くの塩を保持していた。
川崎の研究設計は潜在的に混乱した生理学的問題を指摘している。すなわち、塩摂取量の問題で、いくつかのその後の研究を困らせた。塩摂取量の低下または細胞外液の低下は通常、レニンーアンジオテンシンーアルドステロン系を活性化するが、この系の活性度は個人間で全く変化し、SS被験者では鈍ることが分かっている。したがって、レニンーアンジオテンシンーアルドステロン系活性の変化した状態の低塩摂取量で始めることは、ナトリウムや液体再吸収に及ぼすその後の高塩摂取量の効果に影響を及ぼしているかもしれない。一方、レニンーアンジオテンシンーアルドステロン系の一様な抑制状態の高塩摂取量で始めることは低塩摂取量に対するその後の応答に対してより均質性に混乱をもたらすかもしれない。この主張を支持するエビデンスは下記に述べる静脈内液で急速な細胞外液量の増加というプロトコールで提供された。本研究の578人の被験者は血圧 (正常血圧対高血圧)または塩感受性状態(SS対SR)に関係のない塩負荷後に血漿レニン活性と血漿アルドステロン濃度に実質的な完全な抑制を示した。
必ずしも全ての塩負荷実験が血圧を変化させることはなかった。1976年にキルケンダールと同僚は血圧変化を観察することなく0.6、12.3、24.0 g/dの塩含有食をそれぞれ1ヵ月間与えた後の8人の囚人を研究した。しかし、血圧測定は川崎研究の測定ほど頻繁に注意深くは行われなかった。これら2件の初期研究の重要性は、血圧測定時の食事操作の順序(すなわち、血圧変化が塩摂取量の増加または減少に基づいているかどうか)、数、状況(位置、日中の時間など)が被験者の通常の食事環境中に得られた測定値を含めて重要であることを示していることである。食事摂取の確認、介入期間、他の栄養素の摂取も考慮すべき重要な要因である。
以下省略
塩摂取量に対する血圧応答の再現性
塩摂取量の変化に対する血圧応答の再現性を何人かの研究者達が調べた。入院患者試験で1年間同じ被験者を反復調査した時、平均動脈血圧の変化間の相関係数は0.56であり、わずかな再現性を示唆した。28人の被験者の中で4人がSSからSRへ、またはその逆へと状態を変えた。シャーマらも反復研究で有意な相関係数(r=0.60)を明らかにした。しかし、ゾッカリらは同様のプロトコールを使って0.13 – 0.15という相関係数で比較的低い再現性を報告したが、方法の詳細は不明である。もっと簡単で短期間のプロトコールを使う努力は実っていない。
急速な静脈内塩水注射と食事からのゆっくりとした塩摂取法で利尿剤による塩排泄と体液減少プロトコールに対する血圧応答の状態を調べるために、その後4件の研究が行われた。これらの比較は一貫して有意であった。したがって、件数は限られているが、塩感受性と抵抗性の調査およびこれらの測定法に対する2つの異なった方法間の一致についての調査技術の再現性を調べる研究は、多くの研究で時間の経過で良く知られている血圧変動があるにもかかわらず大体意味があった。
以下省略
血圧変動とSSBPの調査
塩摂取量/排泄量の測定とSSBPの調査
以上の節は省略
ヒトのSSBPの代替指標
SSBPを判定する現在の方法は労力がかかるので、費用が高い;したがって、臨床研究室外で行われることは希である。SSBPについての容易に得られる代替指標を調べている2つの研究法が最近開発された。一つは移動モニターからの血圧値と脈拍数の解析に基づいており、他は近位尿細管細胞または腎臓エキソソームの排泄に基づいていた。
イタリアの研究者グループは24時間移動血圧モニターの特徴は習慣的な塩摂取量に関して個人のSSBPを反映していると仮定した。他の研究者達は低塩食と高塩食の1週間中に調査した34人の本態性高血圧被験者で脈拍毎の血圧と脈拍数変動を測定し、SSBPが低いbaroreflex感度と高い脈間力と関係している高性能のスペクトル分析法によって決定した。換言すれば、SS患者では脈拍数とSSBPは同時に増加したが、SR被験者では塩摂取量によって影響されなかった。これらの観察はインシュリン抵抗性でSSであるメタボリック症候群の被験者が交感神経系活性と心拍数を増加させる多くの他の観察と一致していた。高血圧患者の多くのグループの他の特徴(例えば、二次性高血圧、無呼吸睡眠障害、慢性腎不全)は睡眠に関連した血圧低下の減少(睡眠中の血圧低下がない)であり、有害な前兆を意味することで知られている。メタボリック症候群のようなSS高血圧表現型の特徴を持っている被験者は高い率で夜間血圧低下もない。一般的に、塩過剰は鈍らせ、一方、塩欠乏は夜間の血圧低下を強化し、血圧低下の減少はSSBPと関係していると述べられてきた。この関係はSS表現型の罹患率増加に寄与しているかもしれないことが考えられる。一般的に圧利尿応答が必要なように、SS被験者は負荷された塩を排泄するために夜間の高い睡眠中の血圧に依存しているかもしれない。
したがって、カスティグリオーニらは習慣的な食事中の46人の高血圧患者でSSBPの危険性についての代替標識として平均動脈血圧の夜間低下と70 bmp以上の24時間脈拍数を研究した。被験者はSSBPの調査のために公式の食事プロトコールを行った。解析は患者を2人(高危険率)、1人(中危険率)、0人(低危険率)と仮定された代替指標に分けた。高いSSBP危険率と実際に測定されたSSBP(すなわち、代替指標はかなりの感受性を関係していた)との間にかなりの一致があった。しかし、予測した低いSSBP危険率グループの約1/4は実際にSS(観察して特異性が低い、または低い危険率グループの実質的な分類ミス)であったことを彼等は明らかにした。その後、予測は平均動脈血圧の夜間低下と脈圧との組合せによって改善されたと彼等は示唆し、相関が弱く異なった情報を提供するかもしれないパラメーターは血圧の高さと脈動要素をから推理される。この新しい方法で、低危険率グループの分類ミスは5%まで減り、受容器操作曲線の解析は高危険率グループについて感受性と特異性についてそれぞれ74%と78%を示した。
ブルティンとベン-ドフは24時間血圧計を参考にして20年間追跡した未治療患者の多数被験者(n=2064)を分類するためにSSBP代替標識を使用した。彼等は死亡率に関してこの分類の影響を調査した。カスティグリオーニと共同研究者達の方法論で約27%は低いSSBP危険率として、62%は中危険率として、13%は高危険率として類別された。女性はSSBPについての従来の知識と一致して最後のグループ(16%対男子10%)に入る可能性が高かった。高危険率グループは老齢、高いBMI、糖尿病の高い発症率によって特徴付けられ、それらはSS表現型と普通に関係している臨床特性である。コックス比例ハザード・モデルで、平均動脈血圧よりもむしろ収縮期血圧の低下を使用し、前述した全ての表現型変数と24時間収縮期血圧と拡張期血圧について調整すると、高危険率状態は全集団で死亡率の危険率増加(ハザード比1.59; P<0.03)を予測した。しかし、効果は男性の観察だけであり、一方、女性では効果は限界であった。研究の限界には不明な被験者の塩摂取量、(集団について)選択偏向、コホ-トについて未知の危険因子についての未調整(例えば、喫煙状態やコレステロール値)、未知の罹患率と死因があった。
カスティグリオーニらの結果の再現性も問題である。いくつかは痙攣歴のある女性で結果を再現できたが、一方、他はSSまたはSRと分類された集団で再現できなかった。
中間を省略。
この研究段階では、24時間血圧計によるSSBPについての代替指標はある者については正しく同定できるかもしれないが、実際のSSBP表現型についての被験者では必ずしも全てではなく、尿中腎臓細管細胞とエキソソームからの代替指標は複製され確認される必要があると述べられる。ヒトのSSBPのメカニズム研究のことでは、被験者の分類は食事プロトコールや急性入院プロトコールと共に研究室の領域のままである。
個別患者の臨床管理のためのSSBPの意味
公衆保健のためのSSBPの意味
以上の各章は省略。
知識ギャップ
これまでの章の主題レビューから、SSBP、ヒトのSSBPを測定するために使われる研究設計や技術上の未解決な方法論問題について、我々の現在の知識には大きなギャップがあることは明らかである。このレビューに含まれる分野は次のようである:
1.実験動物モデルのSS表現型を決めることに含まれるとして述べられている遺伝子とメカニズムの増加した数が強く示唆していることは、遺伝子変異体のネットワークまたは多様なクラスターによって最終的にSSBPが引き起こされるかもしれない。SSBP表現型が多遺伝子形質として受け継がれると言う仮説をテストするためにバイオインフォマティク技術の適用がそのようなネットワークを明らかにするために要求されるかもしれない。
2.ヒト高血圧の遺伝子調査では全ゲノム関連研究が必要で、そこではSSBP表現型を持った参加者の数が十分に大きくて、ゲノム全体の重要な閾値で関連性を検出できる力を持っており、検査されている遺伝子または遺伝子変異体の数を説明できること。そのような研究はアメリカ心臓協会心血管ゲノム現象研究に合わせられ、全参加者がSSBPの表現型を発現することを要求された。
3.そのような遺伝子研究や生理学的研究はSSBP表現型についての容易に測定できるバイオマーカーの発見によって促進されてきた。ヒトの表現型を明らかにする現在の方法論は面倒で煩わしく費用が掛かるので、大規模研究を実施する大きな障害となっているからである。標識がないことも医者にとって関係がある。個別患者でSSBPの診断根拠のために、医者はSSBP表現型に関連した人口統計的生化学的特性(例えば、年齢、人種、血漿レニン活性)を当てにし続けなければならないか、または利尿剤またはその後で低塩食に対する応答を使用しなければならないからである。
4.24時間血圧計技術で行われた代替指標のようなSSBPの代替指標である血行力学の特性値に関する連続した研究は思うにバイオマーカーとなるかもしれない。特に、現在受け入れられている技術でSSBPの直接測定と比較して高い感度と特性を達成する多変量モデルに前兆となる変数を加える。その上、尿試料から容易に得られるバイオマーカーは尿中腎臓細管細胞またはエキソソームの性質に関する連続的な研究から開発されるかもしれない。
5.組織区画のナトリウム貯留やSSとSR動物またはヒトでそのような貯留の起こりうる差の研究について、そのような貯留を測定するための磁気共鳴表現技術を使う能力と連結しての新しい知見の出現はSSBP表現型についての放射線医学標識の開発もリードするかもしれない。
6.ヒトの多様な生化学的物質(ホルモン、血管作用薬、ナトリウム代謝の調整物など)の役割を調査する研究は表現型を予測する様々な物質(すなわち、多変量モデル)探索と連動させるべきである。
ヒトのSSBP測定法の勧告
ヒトのSSBP測定について一番良い研究法を決めるエビデンスはない。したがって、コンセンサス・ベースで次のように勧告できる。
1.用いる設計に関係なく、ヒトのSSBP調査には塩摂取量と体液収支で大きな変化が必要である。入院して塩負荷や塩欠乏を急速に変化させる方法で作業している臨床科学者達は塩摂取量を伝統的に使う操作法を守るべきである。つまり、26.9 g/dの塩負荷(17.6 g/dの塩水注射と9.4 g/dの食事摂取)期間の次の期間には0.6 g/dの塩摂取量プラス利尿剤(フロセミド40 mgを8時間毎に3回投与)。外来の食事プロトコールで作業する臨床科学者達は、通常の塩摂取量は集団内と集団間で非常に幅広く変化することを考慮しなければならない。したがって、プロトコールの高い塩摂取量時期は約1週間について少なくとも14.6 g/dの一日摂取量であるべきと推測するのが合理的である。その後、2.9 g/d以下の低塩摂取量の同じ期間が続く。高塩摂取量期間の最後から低塩摂取量の最後までの血圧変化によってSSBPを調査する。
2.理想的な実験設計は摂取量と注意深い24時間尿中塩排泄量測定について完全な管理を必要とする。すなわち、実験で意図した高塩摂取量と低塩摂取量の達成は測定によって確認されなければならない。介入や思い出しからから推定してはいけない。両方とも人的誤差があるからである。さらに、食事の総合的な組成やカリウム含有量のような食事の他の成分も管理しなければならない。それらは血圧に及ぼす塩の効果を変えるからである。
3.複数の注意深い血圧測定は固有の血圧変動を低下させるので、血圧に及ぼす塩収支の変化の効果のより正確な推定値を提供する。複数の標準化された臨床測定値または24時間血圧計を使用する意見がある。しかし、急性入院プロトコールで複数の血圧値が得られた時、血圧に及ぼす塩の効果を調査するために使われるべきパラメーター(塩負荷と塩欠乏後の24時間平均値対比較的短期の部分集合平均値)について黄金標準やコンセンサスはない。この方法を使ってさらにこの問題を研究すべきである。